BIOCHEMISTRY TUTORIAL

      

 

      
Chemical Bonds
 
Macromolecules:
   
Protein Structure

DNA Structure

Carbohydrates

Fats
 

Metabolism:
   
Glycolysis

Fermentation

Respiration

TCA Cycle
 

    
   
DNA Structure ▼▼▼
 

Deoxiribose Nucleic Acid:
 

Deoxiribose:

deoxiribose Ribose numbered carbons

 
Ribose is a sugar with 5 carbon atoms and a ring. As usual with sugars, oxygen is one of the ring members, while one of the carbons is attached to the side. (Each branch point in the drawing is a carbon atom.)

Sugars generally have an OH group on each carbon. OH is a little bit polarized, meaning negatively charged, which causes it to attract water creating solubility. It also has a lower energy level than hydrogen, allowing it to yield some of its energy through simple metabolic process.

Notice that one of the OH groups is missing and replaced with hydrogen. That's why its called "deoxiribose."

Nucleic Acids:

Nucleic Acids are large molecules used for genetic instructions. The messenger type of nucleic acids migrate out of the nucleus to take part in protein synthesis. They code for the sequence of amino acids in the protein chain.

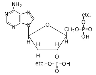
Nucleic acids have phosphate with them, which gives them their acidic characteristics. Here's one of the units as it appears within the chain:

Adenosine in Chain: adenosine

Phosphate is used to link each of the units together in the DNA chain. The reason for using phosphate for the link is because of its energetics.

Phosphate has a moderately high energy level for good stability; yet it can be put in place easily by starting with a higher energy form, which has three phosphates linked together.

Three phosphates on adenosine is adenosine triphosphate (ATP), the universal energy carrier throughout biology.

The Gentic Code:

The subunits of DNA are of four types. They create a four letter message for the entire genetic code.

In addition to adenosine (shown above), the other three subunits (called nitrogen bases or bases) are these:

T—Thymine: thymine

G—Guanine: guanine

C—Cytosine: cytosine

The single ring bases are called pyrimidines. The double ring bases are called purines.

When the bases have deoxiribose attached, they are called nucleosides. With deoxiribose and phosphate, they are called nucleotides.

The names change slightly with the form.

Base Nucleoside    Nucleotide
Adenine Adenosine Adenylic Acid
Thymine      Thymidine Thymidylic Acid
Guanine Guanosine Guanylic Acid
Cytosine Cytidine Cytidylic Acid

Three bases on the DNA strand code for one amino acid in protein. There is usually more than one code for each amino acid. For example, Valine is coded by GTC, GTA, GTT and GTG.

RNA—Ribose Nucleic Acid:

Structurally, RNA is the same as DNA except for two differnces. One, the sugar is not lacking one of its OH groups, so it is called ribose instead of deoxiribose. Two, thymine is replaced by uracil, which is about the same except it lacks the methyl group (CH3).

Functionally, the difference is that DNA is used only for storing genetic information. RNA is used to apply the information to the construction of proteins. It carries the information from the DNA (called chromosome) to protein synthesis sites called ribosomes.

TOP     

     top