BIOCHEMISTRY TUTORIAL

     
     
Chemical Bonds
 
  Macromolecules:
     
Protein Structure

DNA Structure

Carbohydrates

Fats
 

  Metabolism:
     
Glycolysis

Fermentation

Respiration

TCA Cycle

    
   
Glycolysis - Glucose Breakdown ▼▼▼
 

The Tools of Metabolism:

Enzymes: Enzymes control chemical reactions in cells. They consist of two parts: proteins and reaction sites, which are catalysts. The proteins have a structural purpose. They hold the catalyst in place and attach to membranes creating order in the cell.

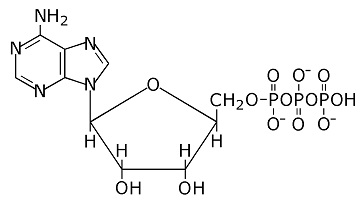
ATP - Adenosine Triphosphate:

ATP

 
ATP is the universal energy carrier in biology. When biochemical reactions need energy, they usually get it from ATP. Some reactions yield energy to ATP, and some get energy from it.

ATP is one of the subunits of genetic molecules (nucleic acids) but with three phosphate groups attached instead of the usual one. Separation of the phosphate on the end yields energy. The molecule is then called ADP (adenosine diphosphate).

NADH:  NADH is another energy carrier which handles a high energy hydrogen atom. It removes hydrogen from the reactant when needed. The technical name for it is nicotinamide adenine dinucleotide.

Glycolysis - Glucose Breakdown:

glycolysis

Glucose is a 6 carbon ring. It breaks down into 2 pyruvic acid molecules, which have 3 carbons each. In the process 2 ATP molecules are energized, and an NAD molecule picks up a high energy hydrogen.

First, 2 ATPs are needed during steps 1 and 3. Phosphate from ATP is added to promote the reactions. During step 5, another phosphate is added by NAD, and it picks up a hydrogen at the same time. Then an ATP is energized during step 6, and again during step 9. But there are 2 3-carbon molecules at that point, so the total is 4 ATPs created, while 2 are used, for each glucose molecule.

Glycolysis occurs in the cytosol of eukaryotic cells and then sends a product as acetyl-CoA into the mitochondria for respiration.

TOP     

     top