BIOCHEMISTRY TUTORIAL

      

 

      
Chemical Bonds
 
Macromolecules:
   
Protein Structure

DNA Structure

Carbohydrates

Fats
 

Metabolism:
   
Glycolysis

Fermentation

Respiration

TCA Cycle
 

    
   
Respiration ▼▼▼
 

Respiratory Chain System:
 

resp chain

 
Over a hundred proteins have been identified. They are clustered in five groups.

ATP Synthesis:

The purpose of respiration is to reenergize ATP as it gets used as an energy source for promoting synthesis during metabolism.

ATP is adenosine triphosphate. A chain of three phosphates are linked to adenosine. The phosphate on the end is separated to yield energy. It has to be reattached to restore the energy.

In reattaching phosphate (Pi is inorganic phosphate) a pair of high energy electrons must make the bond.

The energy for those electrons must be carried to the respiratory chain system by another carrier called NADH. It transfers the electrons to a series of cytochromes which redistribute the energy over three ATPs.

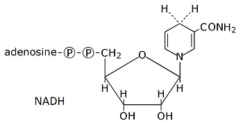
NADH is nicotinamide adenine dinucleotide—hydrogenated.

NADH, high energy

A hydrogen is removed and carries a high energy electron to the respiratory chain system resulting NAD+ which must then be re-energized by attaching another hydrogen.

NAD, low energy

Cytochromes:

Cytochromes are complex structures with iron, copper or other metals in the center for transferring electrons while redistributing the energy.

The metals are surrounded by porphyrin rings made of nitrogen and carbon compounds which exchange electrons with the metals.

The rings are held in place by proteins.

As the metals pick up an electron, they become more negatively charged and are said to be reduced (often +2). As they give up electrons, they become more positively charged and are said to be oxidized (often +3).

After the electrons give up a significant amount of their energy, they combine with oxygen and hydrogen to form water.

Mitochondria:

This process (called oxidative phosphorylation) usually occurs in mitochondria. However, abbreviated forms of it occur in bacteria which do not have mitochondria.

Mitochondria are somewhat like cells within cells. They are surrounded by a double layered membrane. Hydrogen ions (protons) are pumped between those membranes creating an osmotic pressure gradient. The osmotic pressure moves the hydrogen from one point to another, so it can relocate from NADH to oxygen.

The hydrogen moves back into the mitochondria by passing through a protein complex which it sets in motion creating a turning wheel. The wheel picks up ADP and Pi and brings them together to reconstruct ATP.

Also within the mitochondria is breakdown metabolism which yields most of the energy. It breaks down two-carbon compounds which usually originate with glucose. The resulting metabolism yields NADH which carries the energy to the respiratory chain system.

TOP     

     top